中西医执业医师考试2020年新疆考区这些考生可以参加技能考试了!为方便参加2020年医师实践技能考试的考生了解,在此医学教育网小编为大家整理如下内容:
未完成实践技能考试地区有:乌鲁木齐考点、昌吉考点、阿克苏考点、伊犁考点。
各类别考试时间如下:
临床、中医、乡村全科执业助理医师类别考试时间:2020年9月17日-2020年9月18日
口腔类别考试时间:2020年9月19日至2020年9月20日
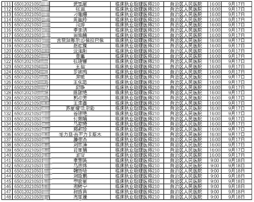
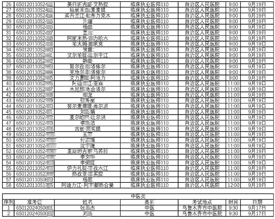
具体通知详情如下图,未收到考试通知考生可咨询当地医院医管科:
























完成版准考证及考试名单详情可进入【新疆医管中心】微信公众号查看!
2020年中西医结合医师考试笔试成绩查询免费预约平台>>
以上关于“中西医执业医师考试2020年新疆考区这些考生可以参加技能考试了”的文章由医学教育网编辑整理搜集,希望可以帮助到大家,更多的文章随时关注医学教育网!