关于“维生素C的鉴别、检查及含量测定分别是什么?”,这是历年药学职称考试中药物分析会涉及的考点内容,各位考生都复习的如何?医学教育网为大家整理维生素C的鉴别、检查及含量测定分别如下:
1.鉴别
反应试剂:2,6-二氯靛酚反应,玫瑰红色
2.检查
铁——原子吸收分光光度法
3.含量测定
碘量法。溶剂:新沸过的冷水+稀醋酸
滴定液:碘滴定液。指示剂:淀粉指示液
溶剂:新沸过的冷水+稀醋酸
原因:加入稀醋酸可使滴定时维生素C受空气中氧的氧化作用减慢,使用新沸过的冷水作为溶剂,是为了减少水中溶解的氧对测定的影响。
特殊点:测定维生素C注射液时,先要加入丙酮,以消除注射液中含有的抗氧剂亚硫酸氢钠对测定的影响。
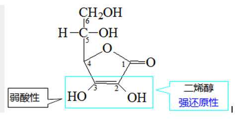
4.化学结构

推荐阅读:
重要!2020年药士\药师\主管药师:药物化学的典型考点汇总!
听课全会 做题奔溃!各位考生如何提高做题准确率?
重要!2020年初级药士考试考前复习计划,不看后悔!
以上“历年考点!维生素C的鉴别、检查及含量测定分别是什么?”由医学教育网为大家整理,希望对大家有所帮助,更多药学职称考试知识点、考试经验、考试动态请关注医学教育网药学职称考试栏目!