关于“微粒分散系”的考点,有很多药学职称考生都比较关注,为了帮助大家了解,医学教育网为大家整理如下:
1.微粒大小与测定方法
有光学显微镜法、电子显微镜法、激光散射法、库尔特计数法、Stokes沉降法、吸附法等。测定纳米级粒子大小的常用方法有电子显微镜法和激光散射法。
2.微粒大小与体内分布
粒度 | 分布 |
小于50nm | 骨髓组织 |
静脉注射、腹腔注射0.1~3.0μm | 肝脏 |
注射大于50μm | 肠、肝、肾 |
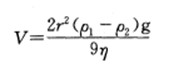
3.Stokes公式

Stokes公式可知沉降速度V与微粒半径r成正比,所以减小粒径是防止微粒沉降的最有效方法;同时,V与黏度η成反比,即增加介质的黏度η,可降低微粒的沉降速度;此外,降低微粒与分散介质的密度差(ρ1-ρ2)、提高微粒粒径的均匀性、防止晶型的转变、控制温度的变化等都可在一定程度上阻止微粒的沉降。沉降速度V可用来评价粗分散体系的动力学稳定性,V越小说明体系越稳定,反之不稳定。
推荐阅读:
你还不知道?药士\药师\主管药师报考各地区要求不同!
速看!药学职称—相关专业知识分值分布(附考点举例)!
一键订阅!2021药士\药师\主管药师报名入口开通提醒!
以上“微粒分散系考点总结—药学职称考试”由医学教育网为大家整理,希望对大家有所帮助,更多资讯请关注医学教育网!