医学考研

考试动态
复习指导
首页 > 医学考研 > 分数线 > 正文

徐州医科大学公布2021年硕士研究生一志愿进入复试最低分数线

2021年考研已经正式进入复试和调剂阶段了!各位报考了徐州医科大学的考生及时了解院校发布的分数线基本要求,医学教育网小编在徐州医科大学的官网上搜集到了“徐州医科大学2021年硕士研究生一志愿复试最低分数线”,整理如下:

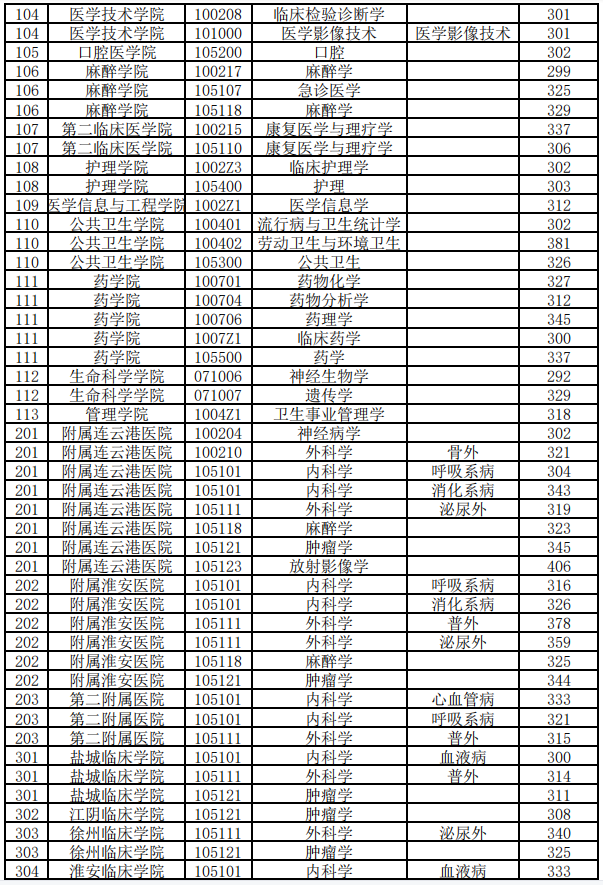
徐州医科大学一志愿复试最低分数线1

徐州医科大学一志愿复试最低分数线2

徐州医科大学一志愿复试最低分数线3

点击查看:

徐州医科大学2021年硕士研究生招生复试时间安排通知

徐州医科大学2021年硕士研究生复试方式及相关工作办法

徐州医科大学2021年硕士研究生调剂条件与注意事项

以上是医学教育网小编整理的“徐州医科大学公布2021年硕士研究生一志愿进入复试最低分数线”全部内容,想了解更多医学考研知识及内容,请点击医学教育网。

相关阅读:

2021年硕士研究生招生考试34所自划线院校分数线

打开APP看资讯 更多更快更新鲜 >>
热点推荐:
考生必看
取消
复制链接,粘贴给您的好友

复制链接,在微信、QQ等聊天窗口即可将此信息分享给朋友
前往医学教育网APP查看,体验更佳!
取消 前往
您有一次专属抽奖机会
可优惠~
领取
优惠
注:具体优惠金额根据商品价格进行计算
恭喜您获得张优惠券!
去选课
已存入账户 可在【我的优惠券】中查看