我们即将迎来2022年新征程,这对要报考执业药师的人来说,也是新一年备考的起点,备考前大家不如先来做个《药一》的入门练习,医学教育网小编为大家整理5个基础知识点及其对应的练习题,大家花10分钟的时间学一学,测一测,给自己的入门打个分吧!
知识点:镇静催眠药
地西泮1位N-去甲基代谢产物,即去甲西泮,3位羟基化的代谢产物即替马西泮,二者的进一步代谢产物为奥沙西泮,这些代谢产物均已广泛用于临床。奥沙西泮和替马西泮结构上3位羟基可与葡萄糖醛酸结合后从尿排出体外,具有半衰期短、副作用小、催眠作用较弱等特点,适用于老年人和肝肾功能不良的使用者。
练习题:
地西泮的活性代谢产物制成的药品是( )
A.硝西泮
B.奥沙西泮
C.劳拉西泮
D.氯硝西泮
E.氟西泮
【答案】B
【解析】奥沙西泮为地西泮的活性代谢产物。
知识点:吩噻嗪类抗精神病药
吩噻嗪类基本母核结构:硫氮杂蒽
代表药物:
氯丙嗪:有锥体外系作用、光毒化过敏反应
奋乃静、氟奋乃静:吩噻嗪母核氮以哌嗪链取代
庚氟奋乃静:是氟奋乃静的前药,作用时间长
练习题:
氯丙嗪化学结构名( )
A.2-氯-N,N-二甲基-10H-苯并哌唑-10-丙胺
B.2-氯-N,N-二甲基-10H-苯并噻唑-10-丙胺
C.2-氯-N,N-二甲基-10H-吩噻嗪-10-丙胺
D.2-氯-N,N-二甲基-10H-噻嗪-10-丙胺
E.2-氯-N,N-二甲基-10H-哌嗪-10-丙胺
【答案】C
【解析】氯丙嗪是吩噻嗪类抗精神病药物的代表药物。
知识点:抗抑郁药
抗抑郁药在体内可发生去甲基化代谢,其代谢产物仍具有活性抗抑郁的药包括:
丙米嗪——地昔帕明
氯米帕明——去甲氯米帕明
阿米替林——去甲替林
氟西汀——去甲氟西汀
舍曲林——N-去甲舍曲林
文拉法辛——O-去甲文拉法辛
西酞普兰——去甲基化合物和去二甲基化合物
练习题:
原形与代谢产物均具有抗抑郁作用的药物有( )
A.舍曲林
B.文拉法辛
C.氟西汀
D.帕利哌酮
E.阿米替林
【答案】ABCE
【解析】舍曲林主要首先通过肝脏代谢,血浆中的主要代谢产物是N-去甲基舍曲林,其药理活性是舍曲林的1/20。文拉法辛和它的活性代谢物O-去甲文拉法辛,都有双重的作用机制。氟西汀及其代谢产物去甲氟西汀都选择性地抑制中枢神经系统对5-HT的再吸收,延长和增加5-HT的作用,为较强的抗抑郁药。阿米替林的活性代谢产物去甲替林,抗抑郁作用比丙咪嗪强,可改善患者的情绪。
帕利哌酮属于抗精神病药本题不选。
知识点:镇痛药
盐酸曲马多是微弱的μ阿片受体激动药,分子中有两个手性中心,临床用其外消旋体。(+)-曲马多主要抑制5-HT再摄取,同时为弱μ受体激动药,对μ受体的亲和性约相当吗啡的1/3800,而(-)-曲马多是去甲肾上腺素再摄取抑制药和肾上腺素能α2受体激动药,(±)-曲马多的镇痛作用得益于两者的协同性和互补性作用,ED50比吗啡大9倍。
曲马多在体内经肝脏CYP2D6酶代谢生成O-脱甲基曲马多,对μ、δ、κ受体亲和力增加,镇痛作用为曲马多的2~4倍,为吗啡的1/35。曲马多经口服、直肠、静脉或肌内注射给药,短时间应用曲马多较少出现呼吸抑制或便秘,几乎无成瘾性,可代替吗啡用于中度至重度术后或慢性疼痛的镇痛。曲马多的镇痛作用显著,可用于中重度、急慢性疼痛的止痛。
练习题:
曲马多在体内的主要带代谢途径是( )
A.O-脱甲基
B.甲基氧化成羟甲基
C.乙酰化
D.苯环羟基化
E.环己烷羟基化
【答案】A
【解析】曲马多在体内经肝脏酶CYP2D6代谢生成O-脱甲基曲马多,对μ、δ、κ受体亲和力增加,镇痛作用为曲马多的2~4倍,为吗啡的1/35。
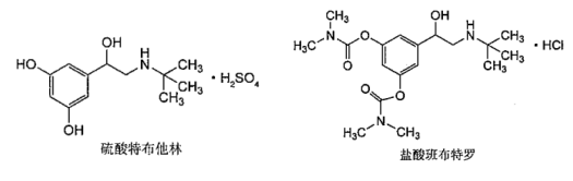
知识点:β受体激动药
将特布他林苯环上两个酚羟基酯化制成的双二甲氨基甲酸酯前药为盐酸班布特罗,吸收后在体内经肝脏代谢成为有活性的特布他林而发挥作用。

练习题:
依据药物的化学结构判断属于前药的β受体激动剂是( )


【答案】A
【解析】将特布他林苯环上两个酚羟基酯化制成的双二甲氨基甲酸酯前药为班布特罗,吸收后在体内经肝脏代谢成为有活性的特布他林而发挥作用。
怎么样?以上学测结束,你会给自己2022年执业药师《药一》入门练习打多少分?
即使分数不理想也没有关系,我们还有时间复习。医学教育网为广大考生准备了适合不同人群的课程班型,跟着专业师资学执业药师,更容易掌握。如果你还没有选到心仪的老师和课程,快来选购吧,总有一款适合你!马上报课学习>>
【医学教育网原创,转载请注明出处,违者必究】
相关推荐:
【不懂来看】2021执业药师社保审核那些事儿,超全解答!
【有问必答】22年执业药师备考问答+报考问答+政策拓展汇总!
万事开头难,7位网校老师教你怎么迈出2022执业药师复习第一步!
【汇总】这些地区,特殊情况可申请2021执业药师成绩延期一年!