2020年执业药师考试10月份就要举行了,医学教育网为各位考生准备了执业药师模考大赛,第一次、第二次模考结束后,网校老师们针对第一次模考中考生错误率较高的题目给出了解析指导!以下是执业药师《药一》中70%以上的考生都做错的题!
正确率为25.89%:
22.可促进肾上腺素能神经末梢释放递质,间接产生拟肾上腺素作用的是
A.肾上腺素
B.麻黄碱
C.地匹福林
D.多巴胺
E.去甲肾上腺素
【正确答案】B
【答案解析】肾上腺素可直接激动α、β受体;麻黄碱可促进肾上腺素能神经末梢释放递质,间接产生拟肾上腺素作用。
正确率为29.91%:
23.作用强度与氯喹相当,但起效比氯喹快,适用于抢救脑型疟疾和危重昏迷的疟疾患者的是
A.青蒿素
B.哌喹
C.双氢青蒿素
D.蒿甲醚
E.青蒿琥酯
【正确答案】E
【答案解析】青蒿琥酯作用强度与氯喹相当,但起效比氯喹快,适用于抢救脑型疟疾和危重昏迷的疟疾患者。
正确率为29.38%:
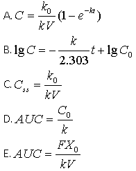
16.关于单室模型静脉注射给药

1)单室模型静脉注射给药血药浓度公式为
【正确答案】B
【答案解析】血药浓度用C表示,所以在选项AB中选择,选项A含有静滴速率常数k0,为单室模型静脉滴注给药血药浓度公式,选项B是单室模型静脉注射给药血药浓度公式。
正确率为23.92%:
17.A.5:00
B.8:00
C.15:00
D.18:00
E.22:00
关于药物的给药时间
1)茶碱Cmax明显升高的给药时间是
【正确答案】A
【答案解析】茶碱5:00给药比22:00给药Cmax明显升高。
正确率为28.35%:
18.A.半透性
B.流动性
C.饱和性
D.不对称性
E.特异性
关于生物膜的特点
3)脂质双分子层具有
【正确答案】B
【答案解析】膜中蛋白质也可发生侧向扩散运动和旋转运动,脂质双分子层具有流动性。
正确率为30.37%:
6.a、b、c三种药物的受体亲和力和内在活性对量效曲线的影响如下图,下列说法正确的是

A.与受体的亲和力相等
B.与受体的亲和力a>b>c
C.内在活性a>b>c
D.内在活性相等
E.内在活性a<b<c
【正确答案】BD
【答案解析】本题考点是受体的亲和力和内在活性的关系。与受体的亲和力强,发挥相同的药理效应就需要较小剂量,由图看出,与受体的亲和力是a>b>c。效能指在一定范围内,增加药物剂量或浓度,其效应强度随之增加,但效应增至最大时,继续增加剂量或浓度,效应不能再上升,此效应为一极限,称为最大效应,也称效能。效能反映了药物的内在活性,由图可见三种药物的最大效应相等,所以内在活性相等。故本题选BD。
正确率为22.27%:
8.以下符合非线性药动学特点的是
A.药物的消除不呈现一级动力学特征
B.遵从米氏方程
C.当剂量增加时,消除半衰期缩短
D.AUC和平均稳态血药浓度与剂量成正比
E.其他可能竞争酶或载体系统的药物,影响其动力学过程
【正确答案】ABE
【答案解析】具非线性动力学特征药物的体内过程有以下特点:
(1)药物的消除不呈现一级动力学特征,遵从米氏方程。
(2)当剂量增加时,药物消除速率常数变小、半衰期延长、清除率减小。
(3)AUC和平均稳态血药浓度与剂量不成正比。
(4)原药与代谢产物的组成比例随剂量改变而变化
(5)其他可能竞争酶或载体系统的药物,影响其动力学过程。
你做对了吗?如果你也做错了,就快快将这些题目涉及的知识点再重新看一遍吧!执业药师考试在即,医学教育网在这里提前预祝大家取得满意的成绩,错过第一次及第二次模考的考生,还有第三次模考和自由模考在等你哟!
相关推荐:
考前一个月,执业药师考生可再提60分以上!
终于全了!2020年执业药师经典试题7科汇总版
考前40天 解锁执业药师3大救命资料!
2020年执业药师,8个会影响考生的重大政策变动!
拿了执业药师证就可以开药店吗?拿证后的8个问题,值得收藏!
【医学教育网原创,转载请注明出处,违者必究】