2022年执业药师考试复习目前正处于基础阶段!你复习的怎么样啦?这个阶段也需要一定的练习题去巩固知识点!以下是小编整理的“《药一》第二章 药物的结构与作用 精选习题!”,希望对你的复习有一定帮助!
1、含硝基的药物在体内主要发生
A、还原代谢
B、氧化代谢
C、甲基化代谢
D、开环代谢
E、水解代谢
【正确答案】 A
【答案解析】 芳香族硝基在代谢还原过程中可被CYP450酶系消化道细菌硝基还原酶等酶催化,还原生成芳香胺基。
【该题针对“药物结构与第Ⅰ相生物转化的规律”知识点进行考核】
2、含芳环的药物在体内主要发生
A、还原代谢
B、氧化代谢
C、水解代谢
D、开环代谢
E、甲基化代谢
【正确答案】 B
【答案解析】 含芳环的药物主要发生氧化代谢,是在体内肝脏CYP450酶系催化下,首先将芳香化合物氧化成环氧化合物,然后在质子的催化下发生重排生成酚,或被环氧化物水解酶水解生成二羟基化合物。
【该题针对“药物结构与第Ⅰ相生物转化的规律”知识点进行考核】
3、不属于第Ⅰ相生物转化反应的是
A、苯妥英体内代谢生成羟基苯妥英失活
B、保泰松体内代谢生成抗炎作用强毒副作用小的羟布宗
C、卡马西平经代谢生成环氧化物
D、苯甲酸和水杨酸在体内参与结合反应后生成马尿酸和水杨酸甘酸
E、普鲁卡因体内水解生成对氨基苯甲酸和二乙胺基乙醇
【正确答案】 D
【答案解析】 AB属于含芳环的氧化代谢,C选项卡马西平含有双键经代谢生成环氧化合物,E选项为酯类的水解,均属于第Ⅰ相生物转化。D选项是与氨基酸的结合反应属于第Ⅱ相生物转化。
【该题针对“药物结构与第Ⅰ相生物转化的规律”知识点进行考核】
4、饱和脂环结构易发生的反应是
A、水解反应
B、还原反应
C、脱烷基化
D、氧化生成羧酸
E、氧化反应,引入羟基
【正确答案】 E
【答案解析】 饱和脂环容易发生氧化反应,引入羟基。如四氢萘的氧化主要发生 在脂肪环上,而芳香环上不发生。脂环化合物引入羟基后的产物通常具有立体性。例如口服降糖药醋磺己脲的主要代谢产物是反式4-羟基醋磺己脲。
【该题针对“药物结构与第Ⅰ相生物转化的规律”知识点进行考核】
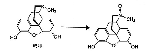
5、吗啡的I相生物转化属于

A、水解反应
B、还原反应
C、N-脱烷基化
D、N-氧化反应
E、氧化脱胺
【正确答案】 D
【答案解析】 镇痛药吗啡在环上的叔胺氮原子氧化生成N-氧化物,属于N-氧化反应。
【该题针对“药物结构与第Ⅰ相生物转化的规律”知识点进行考核】
以上即为“《药一》第二章 药物的结构与作用 精选习题!”的相关内容介绍,更多执业药师考试备考资料请关注医学教育网!
相关推荐:
快收藏!2022年执业药师考试 7科各章节练习题来啦!
关于执业药师和2022年执业药师考试那些事儿,36个问答!
太牛了!汤以恒老师带你学2022年执业药师《药二》降糖药/抗菌药!
【官方】2022年执业药师考试大纲/教材变动汇总!
【医学教育网原创,转载请注明出处,违者必究】