关于执业药师考试的知识点“《药一》知识点:抗心律失常药的构效关系与特点”,为了帮助广大执业药师考生备考,医学教育网小编为大家整理出如下内容:
抗心律失常药的构效关系与特点

经典练习题举例
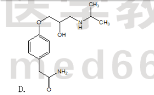
1.普萘洛尔是β受体阻断药的代表,属于芳氧丙醇胺类结构类型。普萘洛尔的结构是





【答案】B
【解析】药名提示结构结构,普萘洛尔的结构中含有萘环,所以直接选B。
2.为钾通道阻滞剂类的抗心律失常药的是
A.美西律
B.胺碘酮
C.维拉帕米
D.硝苯地平
E.普萘洛尔
【答案】B
【解析】胺碘酮为钾通道阻滞药。
以上是医学教育网小编为大家整理的“《药一》知识点:抗心律失常药的构效关系与特点”,希望以上内容对大家有帮助!更多执业药师考试相关知识请关注医学教育网!