执业药师考试

考试动态
复习指导
互动交流

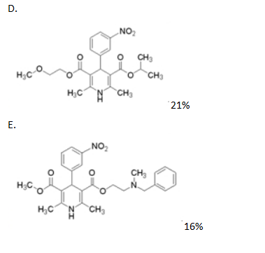
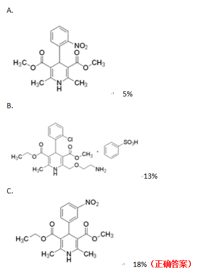
2024年执业药师《药一》摸底测试:尼群地平的结构式为

2024年执业药师《药一》入学摸底测试中涌现出很多错误率比较高的题目,考生们可以进行重复巩固学习!

正确率18%(单选题)

尼群地平的结构式为

1

2

错误题目想听老师讲解?现在预约即可听名师大咖精讲1:1还原考试难度的经典题目,带你查缺补漏,并对2024年考试各科目考察方向及难度进行预测!立即预约直播>

正保医学教育网
上医学教育网 做成功医学人
打开APP
全部评论(0打开APP查看全部 >
精品课程

执业药师-无忧实验班

学霸同款好课

980起

查看详情
热点推荐:
0
0
0
评论
取消
复制链接,粘贴给您的好友

复制链接,在微信、QQ等聊天窗口即可将此信息分享给朋友
前往医学教育网APP查看,体验更佳!
取消 前往
您有一次专属抽奖机会
可优惠~
领取
优惠
注:具体优惠金额根据商品价格进行计算
恭喜您获得张优惠券!
去选课
已存入账户 可在【我的优惠券】中查看