问题索引:
1.【问题】如何增加混悬液型药剂的稳定性?
2.【问题】注射剂有哪些优点?哪些不足之处?
3.【问题】注射剂有哪些质量要求?
具体解答:
1.【问题】如何增加混悬液型药剂的稳定性?
【解答】
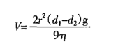
混悬液型药剂存在着热力学聚结、动力学沉降的不稳定性。其动力学沉降符合Stoke´s定律。

其中V=沉降速率;r=微粒半径;η=分散介质的黏度;d1=分散介质的密度;d2=分散介质的密度;g=重力加速度。
沉降速率降低,则混悬液型药剂的稳定性则增加。故根据公式可判断,减少微粒半径r、降低分散介质和分散相的密度即(d1-d2)减小、增大分散介质的黏度η这几种方法均可降低沉降速度。
另实际应用中:加入润湿剂,利于润湿和铺展;加入絮凝剂或反絮凝剂,可调节适宜的Zeta电位,也可增加混悬液型药剂的稳定性。
[正保医学教育网原创]
2.【问题】注射剂有哪些优点?哪些不足之处?
【解答】
注射剂的优点如下:
(1)药效迅速,作用可靠;
(2)适用于不宜口服的药物;
(3)适用于昏迷、不能吞咽或其他消化系统障碍的患者给药;
(4)可使某些药物发挥定时、定位、定向的药效;
(5)有的药物制成注射剂还能发挥缓释作用。
注射剂的不足之处如下:
(1)使用不便且注射疼痛,使用不当有一定危险性;
(2)制备过程比较复杂,制剂技术和设备要求较高。
[正保医学教育网原创]
3.【问题】注射剂有哪些质量要求?
【解答】
注射剂的质量要求如下:
(1)无菌;
(2)无热原;
(3)澄明度;
(4)pH:一般注射剂要求4-9,脊椎腔注射液要求5-8;
(5)渗透压:供静脉注射和脊椎腔注射的注射剂应当与血浆等渗或接近;低渗造成红细胞胀破;高渗造成红细胞萎缩。
(6)安全性:安全性试验包括刺激性试验、溶血试验、过敏试验、急性毒性试验、长期毒性试验;
(7)稳定性:注射剂要求具有必要的化学稳定性、物理稳定性和生物稳定性,有明确的有效期。
[正保医学教育网原创]
医学教育网主管中药师:《答疑周刊》2023年第14期