妇产科主治医师

考试动态
复习指导
互动交流

【来看干货】妊娠并发症——先兆流产

热点内容推荐

每日一练> 考试大纲>
考试政策详细解读> 课程免费试听>

胚胎或胎儿尚未具有生存能力而妊娠终止者,称为流产流产又分为不同的类型,妇产科主治医师考试的过程中会考到相关分型的辨析。所以此部分属于基础的基础。

【概念】

1.妊娠不足28周、胎儿体重不足1000g而终止称流产

2.妊娠12周前终止称为早期流产

3.妊娠12周至不足28周终止称为晚期流产

4.流产分为自然流产和人工流产

胚胎着床后31%发生自然流产,早期流产80%以上。

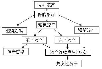
流产临床分类


下面是网校老师对该疾病的课程上的考点记忆归纳,让我们跟着老师一起学习。

流产的病因

先兆流产的诊断和处理

〖医学教育网版权所有,转载务必注明出处,违者将追究法律责任〗

为了帮助各位妇产科主治医师考生复习备考,医学教育网为大家提供2024妇产科主治医师考试辅导课程,专业师资授课,科学制定复习计划,更有专业老师答疑!  点击了解更多>>

推荐阅读:

【来看干货】妊娠并发症——稽留流产

【来看干货】妇产炎症——细菌性阴道病

正保医学教育网
上医学教育网 做成功医学人
打开APP
全部评论(0打开APP查看全部 >
精品课程

无忧实验班-妇产科主治医师

报名/考试不过 按协议重学

1780

查看详情
热点推荐:
0
0
0
评论
取消
复制链接,粘贴给您的好友

复制链接,在微信、QQ等聊天窗口即可将此信息分享给朋友
前往医学教育网APP查看,体验更佳!
取消 前往
您有一次专属抽奖机会
可优惠~
领取
优惠
注:具体优惠金额根据商品价格进行计算
恭喜您获得张优惠券!
去选课
已存入账户 可在【我的优惠券】中查看