公卫执业/助理医师

考试动态
复习指导

公卫执业医师【卫生统计学】考点:直线相关系数的含义与计算

关于公卫执业医师【卫生统计学】考点:直线相关系数的含义与计算,医学教育网编辑整理相关资料分享如下,希望对大家备考2020公卫执业医师《卫生统计学》相关内容有帮助。

【卫生统计学】直线相关系数的含义与计算

如果通过绘制散点图,发现两变量存在线性相关,就可以进一步计算相关系数来定量描述两变量相关程度。

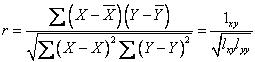
相关系数又称积差相关系数,常用r表示样本相关系数,Ρ表示总体相关系数。它是说明具有直线关系的两变量间,相关关系的密切程度与相关方向的统计指标。其公式为:

相关系数的特点是:1)没有单位,2)取值范围是-1≤r≤1。当两变量呈同向变化,0<r<1,为正相关;两变量呈反向变化,-1<r<0,为负相关;r=0,为零相关,表示无直线相关。

公卫执业医师【卫生统计学】考点:直线相关系数的含义与计算”的内容,由医学教育网编辑整理搜集,更多备考资料干货,敬请关注医学教育网公卫执业/助理医师栏目。

【推荐阅读】

【计划】技能推迟,2020公卫执业医师复习计划表(调整版)

【动态】官方通知!2020公卫医师实践技能考试时间推迟!

【考点】建议收藏!2020公卫执业医师《流行病学》大纲考点系列

【资料】2020年公卫执业/助理医师备考资料大盘点!

【技巧】考生必看!2020年公卫执业/助理医师实践技能复习技巧

正保医学教育网
上医学教育网 做成功医学人
打开APP
全部评论(0打开APP查看全部 >
精品课程

无忧实验班

直播+录播

2680

查看详情
热点推荐:
0
0
0
评论
取消
复制链接,粘贴给您的好友

复制链接,在微信、QQ等聊天窗口即可将此信息分享给朋友
前往医学教育网APP查看,体验更佳!
取消 前往
您有一次专属抽奖机会
可优惠~
领取
优惠
注:具体优惠金额根据商品价格进行计算
恭喜您获得张优惠券!
去选课
已存入账户 可在【我的优惠券】中查看