公卫执业/助理医师

考试动态
复习指导

直线回归与相关的联系-2024公卫执业医师考纲知识点速记

2024公卫医师备考新考季开启!2024年公卫医师考试大纲预计会有大变动,同时针对中专学历考生的报考条件限制会更严格!所以各位考生一定要提前预留充分的备考时间,能报考尽早报考,争取一次通过!快来跟正保医学教育网一起每天规律备考复习2024公卫医师考纲考点!本篇要跟大家分享的是直线回归与相关的联系

直线回归与相关的联系

(1)对同一样本,若同时计算b和r,其正负号是一致的。

(2)对同一样本,b和r的假设检验是等价的,二者的t值相等,即tb=tr

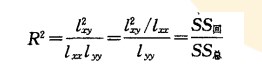
(3)用相关系数对回归效果进行评价,r的平方称为决定系数R2

决定系数

它反映在应变量y的总变异中能用xy的回归关系解释的比例。R2取值在0到1之间,且无单位。R2越接近于1,表明回归方程的效果越好

相互换算

声明:本文为正保医学教育网原创整理,转载请注明来源正保医学教育网

2024公卫医师备考要养成每日规律行复习的好习惯,这样才能稳步提升应试实力。本篇主要跟大家一起学习了直线回归与相关的联系。2024公卫医师《无忧实验班》新考季全新升级,新增“智能督学”服务,想要偷懒?不可能!报了我的课,必须对您负责!同时新增《学霸计划》配套资料。备考无从下手?不可能!专业考情分析、复习顺序及学习建议全部奉上,备考不走弯路!点击了解>>

M轮播图  690-200

正保医学教育网
上医学教育网 做成功医学人
打开APP
全部评论(0打开APP查看全部 >
精品课程

无忧实验班

直播+录播

2680

查看详情
热点推荐:
0
0
0
评论
取消
复制链接,粘贴给您的好友

复制链接,在微信、QQ等聊天窗口即可将此信息分享给朋友
前往医学教育网APP查看,体验更佳!
取消 前往
您有一次专属抽奖机会
可优惠~
领取
优惠
注:具体优惠金额根据商品价格进行计算
恭喜您获得张优惠券!
去选课
已存入账户 可在【我的优惠券】中查看