关于“药学职称相关专业知识-微粒分散系考点汇总”的内容,有很多药学职称考生都比较关注,医学教育网为大家整理如下:

1.微粒大小与测定方法
有光学显微镜法、电子显微镜法、激光散射法、库尔特计数法、Stokes沉降法、吸附法等。测定纳米级粒子大小的常用方法有电子显微镜法和激光散射法。
2.微粒大小与体内分布
粒度 | 分布 |
小于50nm | 骨髓组织 |
静脉注射、腹腔注射0.1~3.0μm | 肝脏 |
注射大于50μm | 肠、肝、肾 |
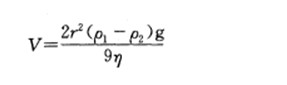
3.Stokes公式

Stokes公式可知沉降速度V与微粒半径r成正比,所以减小粒径是防止微粒沉降的最有效方法;同时,V与黏度η成反比,即增加介质的黏度η,可降低微粒的沉降速度;此外,降低微粒与分散介质的密度差(ρ1-ρ2)、提高微粒粒径的均匀性、防止晶型的转变、控制温度的变化等都可在一定程度上阻止微粒的沉降。沉降速度V可用来评价粗分散体系的动力学稳定性,V越小说明体系越稳定,反之不稳定。
模拟练习题举例
1.能够进入骨髓组织的微粒,其粒径应小于
A.10nm
B.50nm
C.100nm
D.1U m
E.10U m
【答案】B
2.用与静脉注射、腹腔注射的脂质体(粒径0.1-3.0μm),在体内主要分布于
A.骨髓
B.肝脏
C.肺
D.肾脏
E.小肠
【答案】B
推荐阅读:
必看总结!2021年药学职称考试<基础知识>考点思维导图
药学职称考点速记:巧记"四查十对",不看后悔!
很重要的一个知识点,案例分析题特别爱考,不能错过!
以上“药学职称相关专业知识-微粒分散系考点汇总”由医学教育网为大家整理,希望对大家有所帮助,更多资讯请关注医学教育网!